MIKROZON® StarterKit
for system integrators and developers
Unpack, plug in, get started
The direct start with the MIKROZON® StarterKit
The MIKROZON® StarterKit enables you to get started with the MIKROZON® cell immediately. The integration of pump, exhaust air device and power supply allows you to concentrate on your application.
The reference implementation ensures low technological entry barriers, which significantly reduces the steps to an evaluation setup.
The MIKROZON® StarterKit eliminates annoying sources of error and guarantees rapid project progress when integrated into your innovative product.
By illustrating dimension and function, the MIKROZON® StarterKit makes a lasting contribution to positive decision-making within the company for your trend-setting development.
Benefit from our many years of process experience and get your product to market!
scope of delivery
- Water tank
- MIKROZON® cell + cable
- Submersible pump
- Power supply
- Lid with exhaust air
- Instruction manual & data sheet
- Application Notes
Versatile and modular structure of the system
- Ready-to-use without additional components (unpack, plug in, turn on)
- Adjustable current intensity of the MIKROZON® cell
- Adjustable flow rate via pump voltage
- Simple installation and removal of the MIKROZON® cell
Application Notes for a direct start
Hardware alone does not make for successful process development. CONDIAS supports you in a targeted manner with the provision of Application Notes as a guideline.
In this way, you are quickly familiarised with the core technologies that are essential for working with MIKROZON® in a compact form.
If one of the following questions should concern you, we have an answer for you:
- Power supply?
- Which pump?
- Durability of Materials?
- Must the cell lie or stand?
Here are our first application notes:
Benefits of ozone
better than UV: works through depot effect beyond the place of origin, on structured surfaces and in three-dimensional structures equally
no impairment of smell or taste after treatment
Properties of our MIKROZON® StarterKit
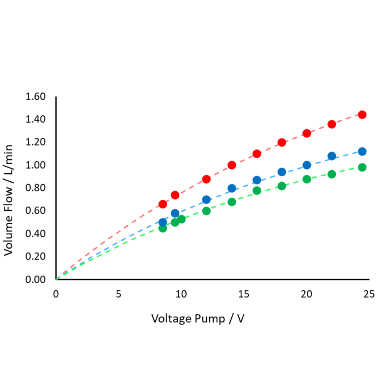
| flow rate | 0.5 - 1.5 l / min |
|---|---|
| pressure | ca. 1 bar |
| current | Max. 1.2 A (for a short time); 0.3 - 1.0 A (recommended) |
| voltage | 8 - 20 V (usual voltage range) |
| temperature | max. 40 °C |
Areas of application
- produces ozone directly in water and at the place of application
- produces ozonised water for the disinfection and sanitization of surfaces
Environmentally friendly application
- Disinfection without the addition of chemicals
- Disinfection without residues of disinfectants
Flexible use
- versatile due to its small form factor
- fast and flexible integration
1 Production of ozonated water
The main purpose of the MIKROZON® StarterKit is to demonstrate the functionality to produce ozone and the show the ease to implement a working system. The StarterKit contains everything you need for this Application, except water.
Ozone is a strong oxidizer which allows to signifi-cantly reduce the amount of microorganisms be-ing in contact with the ozonized water. One big advantage is the complete decomposition of ozonized water into environmentally-friendly prod-ucts, i.e. water and oxygen.








