MIKROZON® StarterKit
für Systemintegratoren und Entwickler
auspacken, einstecken, anstellen
Der direkte Start mit dem MIKROZON® StarterKit
Das MIKROZON® StarterKit versetzt Sie in die Lage, die MIKROZON®-Zelle direkt in Betrieb nehmen zu können. Durch die Integration von Pumpe, Ablufteinrichtung und Stromversorgung können Sie sich auf Ihre Anwendung konzentrieren.
Die Referenzimplementierung sorgt für geringe technologische Einstiegshürden, wodurch der Weg hin zu einem
Evaluationssetup
deutlich verkürzt wird.
Durch das MIKROZON® StarterKit werden lästige Fehler-quellen eliminiert und der zügige Projektfortschritt bei der Integration in Ihr innovatives Produkt wird garantiert.
Durch Veranschaulichung von Dimension und Funktion trägt das MIKROZON® StarterKit nachhaltig zur positi-ven Entscheidungsfindung im Unternehmen für Ihre rich-tungsweisende Entwicklung bei.
Profitieren Sie von der
langjährigen Prozesserfahrung von CONDIAS und bringen Sie ihre Technologie auf den Weg in die Zukunft!
Lieferumfang
- Wassertank
- MIKROZON®-Zelle + Kabel
- Tauchpumpe
- Stromversorgung
- Deckel mit Abluft
- Bedienungsanleitung & Datenblatt
- Application Notes
Flexibler und modularer Aufbau des Systems
- Ohne zusätzliche Komponenten einsatzbereit (auspacken, einstecken, anstellen)
- Einstellbare Stromstärke der MIKROZON®-Zelle
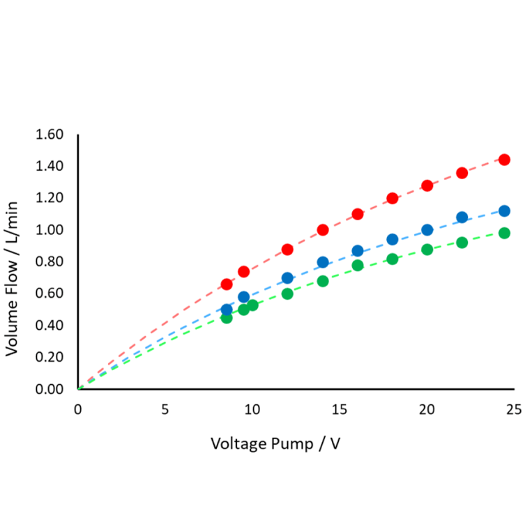
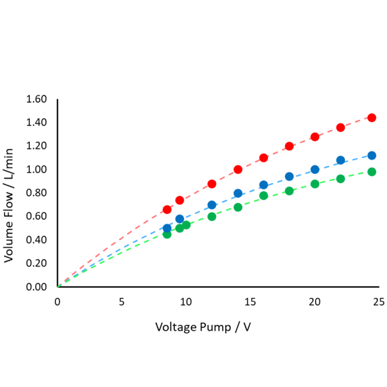
- Die Fördermenge anpassbar durch Pumpenspannung
- Einfacher Ein- und Ausbau der MIKROZON®-Zelle
Application Notes für den direkten Start
Hardware alleine macht noch keine erfolgreiche Prozessentwicklung. CONDIAS unterstützt Sie gezielt mit der Bereitstellung von Application Notes, die Ihnen einen Leitfaden an die Hand geben.
Damit werden Ihnen schnell und in kompakter Form Kerntechniken nähergebracht, die für den Umgang mit MIKROZON® essentiell sind.
Wenn Sie eine der folgenden Frage beschäftigen sollte, haben wir für Sie eine Antwort:
- Stromversorgung?
- Welche Pumpe?
- Materialbeständigkeit?
- Muss die Zelle liegen oder stehen?
Hier sind unsere erste Application Notes:
Vorteile durch Ozon
besser als UV: Wirkt durch Depoteffekt über den Ort der Entstehung hinaus, auf strukturierten Oberflächen und in dreidimensionalen Strukturen gleichermaßen
keine Beeinträchtigung von Geruch oder Geschmack nach Anwendung
Eigenschaften unseres MIKROZON® StarterKits
| Durchfluss | 0,5 - 1,5 l/min |
|---|---|
| Druck | ca. 1 bar |
| Strom | max. 1,2 A (für kurze Zeit); 0,3 - 1,0 A (empfohlen) |
| Spannung | 8 - 20 V (üblicher Spannungsbereich) |
| Temperatur | max. 40 °C |
Anwendungsbereiche
- produziert Ozon direkt in Wasser und am Ort der Anwendung
- produziert ozonisiertes Wasser für Desinfektion und Sanitisierung von Oberflächen
Umweltschonende Anwendung
- Desinfektion ohne Zugabe von Chemikalien
- Desinfektion ohne Rückstände von Desinfektionsmitteln
Flexible Verwendung
- vielseitig einsetzbar durch kleinen Formfaktor
- schnelle und flexible Integration
1 Herstellung von ozonisiertem Wasser
Der Hauptzweck des MIKROZON® StarterKits ist es, die Funktionalität zur Erzeugung von Ozon zu demonstrieren und zu zeigen, wie einfach es ist, ein funktionierendes System zu implementieren. Das StarterKit enthält alles, was Sie für diese Anwendung benötigen, außer Wasser.
Ozon ist ein starkes Oxidationsmittel, das es ermöglicht, die Menge der Mikroorganismen, die mit dem ozonisierten Wasser in Kontakt kommen, deutlich zu reduzieren. Ein großer Vorteil ist die vollständige Zersetzung von ozonisiertem Wasser in umweltfreundliche Produkte, d.h. Wasser und Sauerstoff.








